On 1 July 2025, NIWA merged with GNS Science to become Earth Sciences New Zealand.

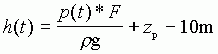
Technical Note No. 98/5 - Task 4/0 (Wave Statistics) Explained; Plus an Explanation of "Reality Checks" : image37.gif