On 1 July 2025, NIWA merged with GNS Science to become Earth Sciences New Zealand.

Models : model1.jpg

NIWA
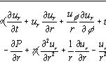
Part of the Navier-Stokes equations for describing how water moves under the action of an external force. Such beasts are the building blocks of mathematical models of currents, waves and sediment movements in estuaries.