On 1 July 2025, NIWA merged with GNS Science to become Earth Sciences New Zealand.

Non_linear_ecosystem_response

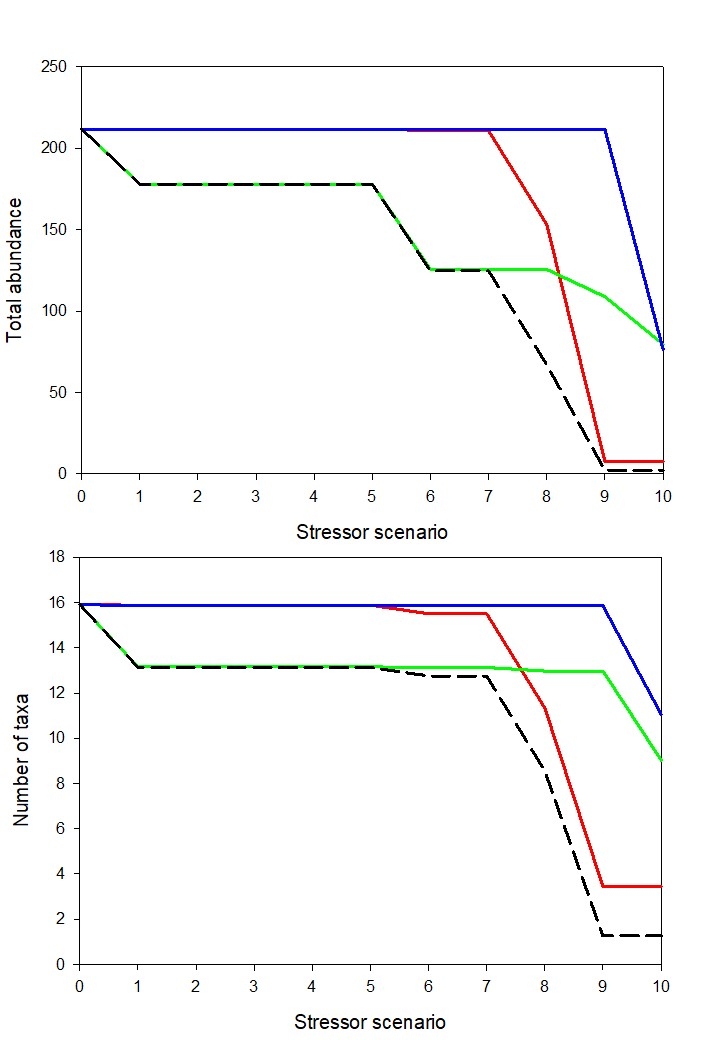
Figure 2: Non-linear ecosystem responses to increasing stressor scenarios when three known stressors occur individually and in combination.